Sector Tecnologías de movimiento y control
Empresa Parker Hannifin
Empleados 55.000
Principales desafíos
- Válvulas de alta complejidad y secciones configurables individualmente con interdependencias.
- Configuraciones de válvulas que evolucionan con el tiempo y se ven afectadas por cambios en el diseño.
- Numerosos documentos específicos del cliente, como planos CAD, diagramas hidráulicos y listas de repuestos.
- La selección del carrete adecuado es compleja y requiere combinar datos de simulación.
Gerente de marketing de division
Leif Johansson
Hemos tenido una colaboración estrecha con In-process (la empresa detrás de Combinum CPQ) durante muchos años y estamos muy satisfechos. Juntos, hemos desarrollado un configurador de primera clase que es una herramienta de ventas importante y muy apreciada por nuestros clientes y también internamente en Parker. La competencia de In-process, su capacidad para entender nuestros procesos y necesidades, y su rápido servicio son fortalezas a las que damos un gran valor.
La empresa
Parker Hannifin
Parker es líder mundial en tecnología de movimiento y control, y ofrece soluciones de precisión para aplicaciones móviles e industriales, así como para la industria aeroespacial. Parker está presente en todos los lugares donde hay movimiento.
Combinum es utilizado por dos de las divisiones de hidráulica móvil de Parker: una en Europa y otra en EE.UU. El área principal de uso es la configuración de válvulas direccionales construidas por secciones.
El proyecto
Antecedentes
Parker en Borås fue pionero en la configuración de productos y ya en los años 90 introdujo un configurador para sus válvulas direccionales. Cuando este configurador, basado en Windows, necesitó ser reemplazado, se probaron varias soluciones antes de elegir Combinum. Fue decisiva la capacidad de Combinum para manejar configuraciones en configuraciones correspondientes a una válvula construida por secciones.
El proyecto
Desafíos
Las válvulas direccionales seccionales de Parker presentan un alto grado de complejidad y constan de secciones configuradas individualmente para controlar una función específica de la aplicación, como un cilindro para un movimiento axial o un motor hidráulico para una rotación. Las secciones de la válvula están afectadas tanto por selecciones aplicables a toda la válvula como por las elecciones de las secciones circundantes, lo que incrementa los requisitos para el configurador.
Una válvula configurada puede tener una vida útil de muchos años, con pedidos repetidos de OEMs. Esto significa que deben incluirse los cambios de diseño mediante actualizaciones de la lista de materiales incluso para configuraciones de válvulas ya existentes.
Los esquemas hidráulicos se utilizan para describir el funcionamiento lógico de un sistema hidráulico, pero en el caso de las válvulas direccionales, el esquema a menudo se vuelve único para cada configuración, lo que hace necesaria la automatización. Otras tareas tradicionalmente arduas eran proporcionar a los clientes modelos CAD específicos, dibujos y listas de piezas.
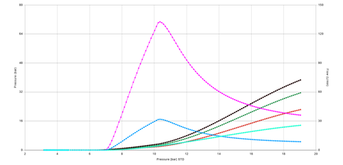
Para una válvula direccional, el carrete es el enlace más importante entre la acción del operador a través de un dispositivo de palanca y el movimiento de la función controlada. La elección del carrete es fundamental para el funcionamiento óptimo de una válvula, pero debe hacerse en contexto y depende, entre otros factores, del compensador seleccionado. Para proporcionar al vendedor y al cliente la mejor base para elegir un carrete, después de un filtrado inicial, se necesitan curvas que describan las características de los diferentes carretes.
El proyecto
Soluciones
Se han creado modelos de configuración para válvulas con modelos de configuración subyacentes para las secciones. Las dependencias entre la válvula y sus secciones se gestionan principalmente mediante la herencia de parámetros de la válvula a sus secciones. Para gestionar las dependencias entre secciones adyacentes, se han creado reglas utilizando funciones que pueden leer los valores de las "configuraciones hermanas".
Se ha desarrollado una integración con el sistema ERP de Parker, donde las nuevas válvulas se registran automáticamente como componentes con sus listas de materiales asociadas, generadas por Combinum. Debido a que los elementos que selecciona Combinum pueden compararse con bolsas de elementos, muchos cambios de diseño pueden realizarse directamente en el sistema ERP, aunque a veces es necesario realizar cambios en un nivel más alto de la estructura. Para esto, se ha creado una función por lotes que actualiza el sistema ERP con listas de piezas modificadas para las válvulas afectadas.
Los diagramas hidráulicos se generan dinámicamente según las selecciones realizadas y se muestran en el navegador utilizando la visualización 2D de Combinum. Para esto, Parker ha desarrollado una biblioteca de símbolos esquemáticos. La colocación y aparición de los símbolos en el diagrama se controlan mediante fórmulas y reglas en una estructura gráfica jerárquica.
Los modelos CAD y los dibujos se crean en Autodesk Design Automation a través de una integración en la que Combinum inicia y controla la generación de la geometría CAD vía un servicio web.

Las características del carrete se muestran al usuario como curvas y es posible mostrar una variedad de datos diferentes. La fuente de las curvas es una base de datos de simulación, pero las curvas del carrete se recalculan en función de la configuración de la sección de la válvula.